使用软件 NRD Studio 基于 Excel 模板文件生成知识图谱的详细教程。
大纲列表:
- 下载官方 Excel 模板文件
- 体验本地导入文件流程
- Excel 模板文件内容介绍
- 进阶使用和技巧
- 注意事项和常见问答
一、下载官方 Excel 模板文件
Excel 模板文件下载地址:官网首页 – 下载 – 模板文件 – 单文件(线性式,推荐),如图:
二、体验本地导入文件流程
下载官方模板文件后,先直接导入,体验和熟悉成功导入的流程。
三、Excel 模板文件内容介绍
Excel 模板单文件中,包含两个工作表:节点列表和关系列表。如图:
1.节点列表(第一个工作表)
- 名称:节点的显示名称(必填),不能重复
- 描述:节点的详细描述(可选)
- 图像:节点图像的链接地址(可选)
节点列表中,每一行代表一个实体,在图谱中用圆环图形表示,模板文件中有三行,则表现为三个圆环,如图:
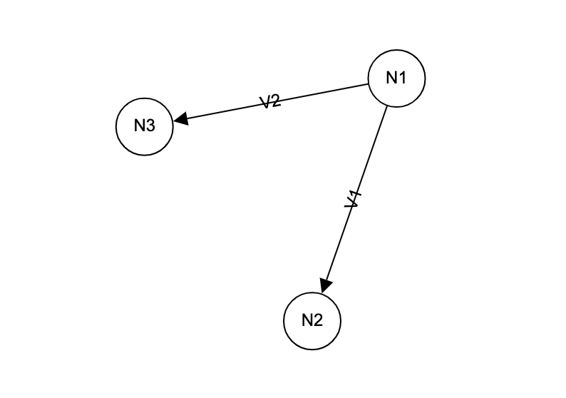
2.关系列表(第二个工作表)
- 源节点:源节点的显示名称(必填),而且必须在节点列表中存在
- 目标节点:目标节点的显示名称(必填),而且必须在节点列表中存在
- 关系:关系线条上的显示名称(可选)
关系列表中,每一行代表一条关系线,在图谱中用线条图形表示,模板文件中有两行,则表现为两条线,如图:
四、进阶使用和技巧
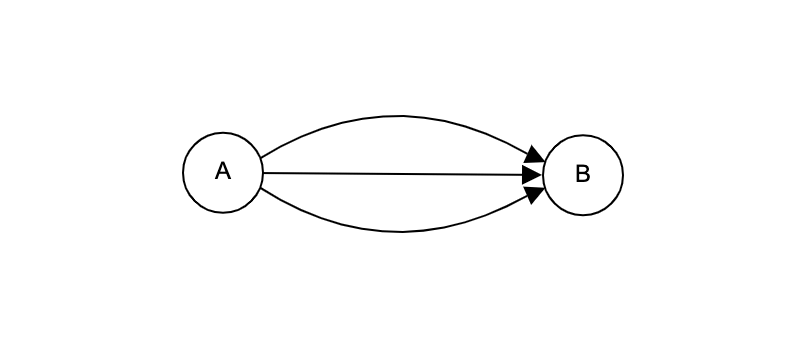
1.关系列表重复
每一行代表一条关系,如果出现重复,则会表现为曲线,避免重叠,如图:
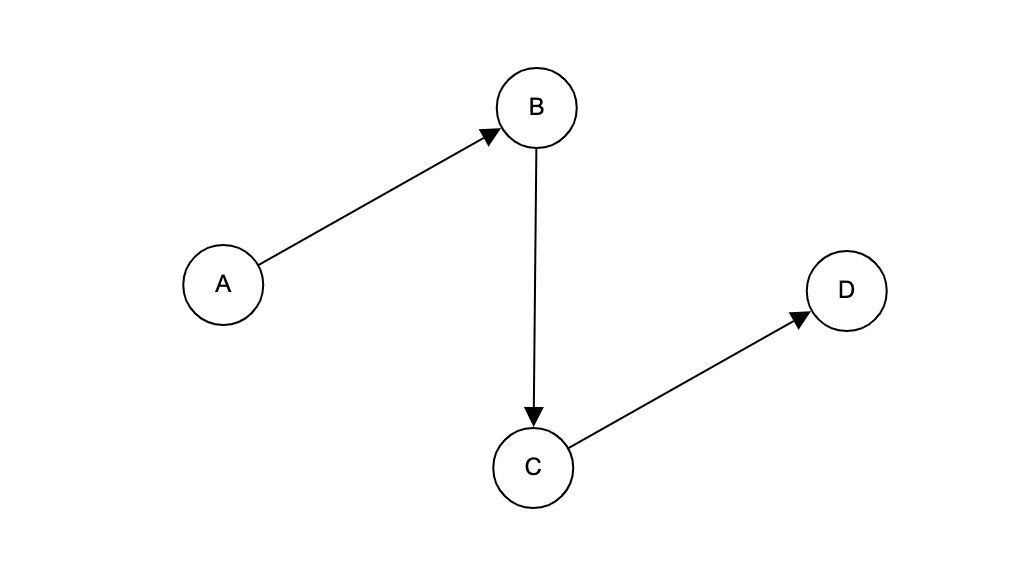
2.链式特征图谱
图谱格式特征:A – B – C – D
包含4个节点和3条关系,一定要注意关系列表中,每一行只能有两个节点(源节点和目标节点),所以上面这种图谱格式,实际上要拆分为3条关系,即3行关系:A – B、B – C、C – D。
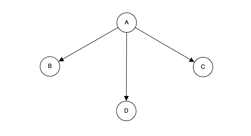
3.一对多的图谱
图谱格式特征:A – B 、A – C、A – D
包含4个节点和3条关系,注意关系列表中不能合并单元格,所以每一行关系都要有节点A,不能省略。
4.属性扩展
图谱中节点和关系的属性支持一定的拓展,详细属性表,参考:官方配置项手册。
以简单实例说明,配置节点填充颜色,在第一行蓝色单元格后,追加一列【填充颜色】,属性名称必须是配置项手册中支持的名称,否则不能正常解析。
五、注意事项和常见问答
注意事项:
- 模板文件中第一行的蓝色单元格内容请勿修改!
- 节点列表中节点名称不要重复。
- 关系列表中的【源节点】和【目标节点】需要在节点列表中都存在,以便两个数据列表进行关联。
- 关系列表中的【源节点】和【目标节点】不能是同一个节点。
- 不要删除模板文件中任何列,如果是可选列,可以选择留空,暂不支持单元格合并。
- 节点名称和节点描述尽量使用纯文字,不要输入复杂数学公式、特殊格式内容等。
- 模板文件中不支持直接插入图片。
- 如果从外部复制数据到Excel模板文件,尽量把数据单元格格式化,清除所有样式(除了第一行的蓝色单元格)。
- 自定义拓展属性的名称,必须是官方配置项手册中已支持的名称。
- 模板文件中如果出现大量空白或隐藏数据, 请删除不必要的数据,节点和关系数据中尽量不要有空白行或单元格。
- 如果下载使用的是双文件模板文件,需要通过高级导入方式,同时上传导入两个文件。
常见问答:
- NRD Studio本地导入Excel使用方法
- NRD Studio 无法导入Excel模板文件的常见原因和解决方法
- NRD Studio提示不可导入的常见原因及解决方法
- NRD Studio本地导入模板文件常见问答
- NRD Studio导入Excel只显示节点不显示关系的解决方法
- NRD Studio Excel网格式和线性式文件的区别及应用场景
- NRD Studio导入模板文件不显示关系数据的解决方法
- NRD Studio普通和高级导入本地文件区别
- NRD Studio新手教程(8):本地导入
更多资源请到 NRD Studio 官方学习中心自行搜索。





















